
인터넷(Internet)
컴퓨터 네트워크 통신망. 인터넷으로 연결된 컴퓨터끼리 통신 규약을 통해 정보를 주고받을 수 있다.




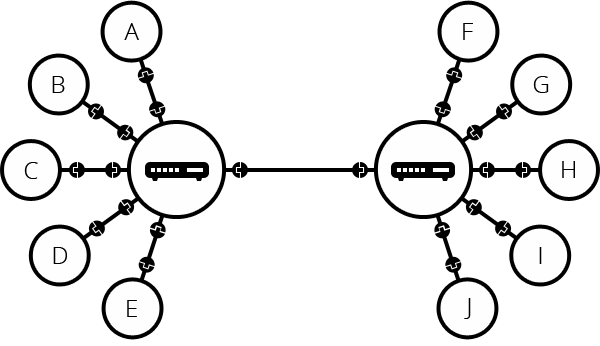
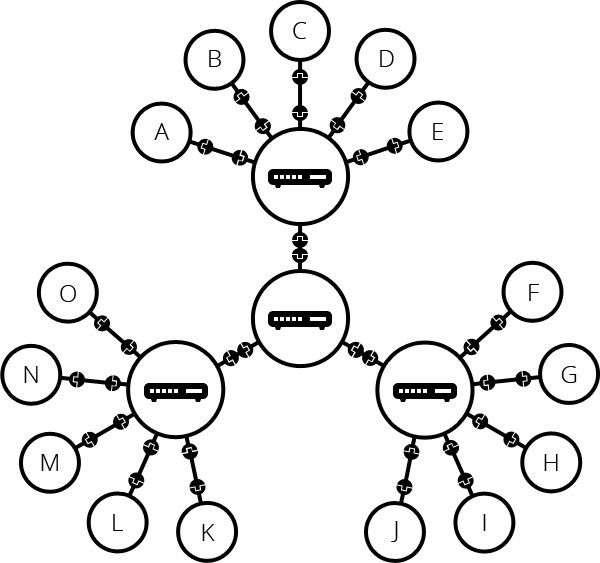
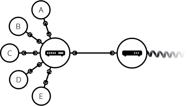
라우터(Router)
흔히 인터넷 공유기라고 부르는 그것. 인터넷 회선 하나로 여러 기기에서 인터넷을 사용하게 해주는 장치. 다른 게시글에서 자세하게 다룰 예정이니 오늘은 이 정도만 알고 넘어가자.




웹(Web)
월드 와이드 웹(World Wide Web, WWW, W3)이라고도 한다. 인터넷과 웹을 혼용하는데, 사실 둘은 다른 개념이다. 인터넷이 인프라라면, 웹은 그 인프라 위에 구축된 서비스다.
서버(Server)와 클라이언트(Client)

웹페이지/사이트/앱을 저장하고 정보를 제공하는 컴퓨터를 서버라고 한다.

일반 사용자로, 서버에 정보를 요청하는 컴퓨터를 클라이언트(Client)라고 한다.

클라이언트가 서버에 정보를 요청하면(request), 웹페이지의 사본이 서버에서 클라이언트로 다운로드 된다(response).
참고
인터넷은 어떻게 동작하는가? - Web 개발 학습하기 | MDN
이 글에서는 인터넷의 개념과 작동 원리에 대해 설명합니다.
developer.mozilla.org
웹의 동작 방식 - Web 개발 학습하기 | MDN
'웹의 동작 방식'은 여러분의 컴퓨터나 폰의 웹 브라우저 안에서 웹페이지를 볼 때 무슨 일이 발생하는지에 대한 간소화된 개념을 제공할 것입니다.
developer.mozilla.org
인터넷을 여는 열쇠 : 서버와 클라이언트 - 생활코딩
--- 지금부터 인터넷이 동작하는 기본적인 원리를 알아보겠습니다. 질문입니다 인터넷이 동작하기 위해서는 컴퓨터가 최소 몇 대가 있어야 할까요? 2대입니다 1대는 인터넷이 아니고 3대는 본질
opentutorials.org
'개발(Web) > Web' 카테고리의 다른 글
| [Internet] HTTP란 무엇일까? HTTPS와의 차이는? (0) | 2021.12.20 |
|---|---|
| [Internet] IP주소란 무엇일까? (0) | 2021.12.19 |
| 톰캣 에러(Tomcat Error) HTTP 상태 404 – 찾을 수 없음 (2) | 2021.03.30 |
| [Ant Design] 앤트디자인 아이콘 에러/미표시 문제 (0) | 2021.03.10 |
| [Gulp] Replace Autoprefixer browsers option to Browserslist config. (0) | 2021.03.08 |